高壓水射流管式空氣預熱器清洗方案—射流作用力與射流直徑參數計算
時間:2013-12-17 15:09:15作者:LeeZhou來源:德高潔清潔設備分享到:QQ空間新浪微博騰訊微博人人網微信
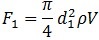
一、射流作用力參數計算
噴嘴前孔噴出的高壓水射流對管內堵灰的作用力F1,根據動量定理及垂直射流的特點,可以推導出:

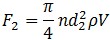
同理,噴嘴反射孔噴出的射流對管壁的作用力F2為:

式中ρ —水的密度,kg/cm³。
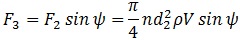
F2在管壁垂直方向的作用力F3為:

由牛頓第三定律可知,管內堵灰和管內壁對噴嘴的反作用力F'1和F'2分別與F1和F2大小相等,但方向相反。即有:F'1=F1,F'2=F2。因此,管內壁及堵灰給噴嘴的前進推力F4應為:

噴嘴及高壓軟管在管內前進時所受到的推力F5為:

二、射流直徑參數計算
水射流自噴嘴噴出后就逐漸擴散,距噴嘴出口距離為l時的射流直徑 D 可由下述經驗公式求得:

熱門搜索: